1. Вычислите среднюю скорость N2+H2=2NH3, если начальная концентрация N2 составляла 0,90 моль/л, а H2-1,10 моль/л. Спустя 15с концентрация N2 снизилась до 0,83 моль/л. Определите среднюю скорость реакции и концентрацию H2 в этот момент времени.
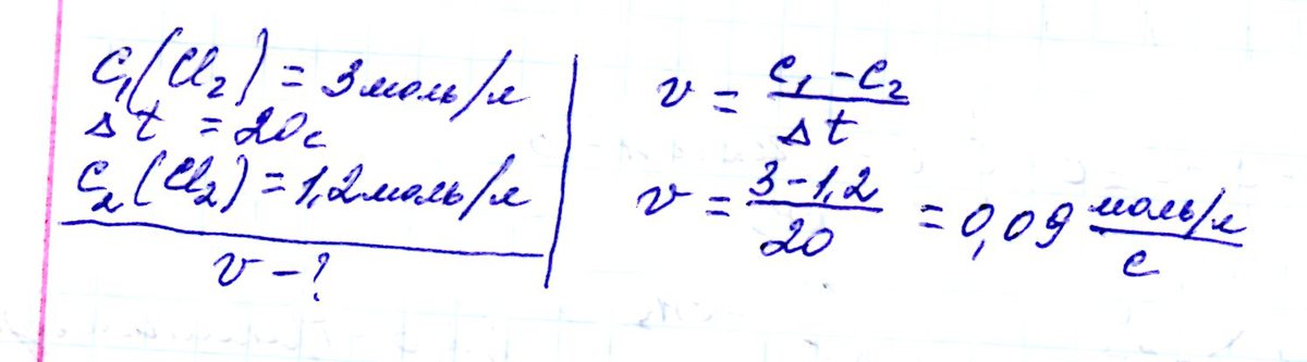
2.Рассчитайте скорость реакции H2+CLl2=2HCl, если в начальный момент реакции концентрация хлора была 3 моль/л, а через 20с стала равной 1,2 моль/л.
Ответы
Ответ дал:
0
Решение задачи см. в приложении
Приложения:

Вас заинтересует
2 года назад
2 года назад
7 лет назад
7 лет назад
10 лет назад
10 лет назад
10 лет назад