• Предмет: Алгебра
  • Автор: МаргаритаКорж
  • Вопрос задан 10 лет назад

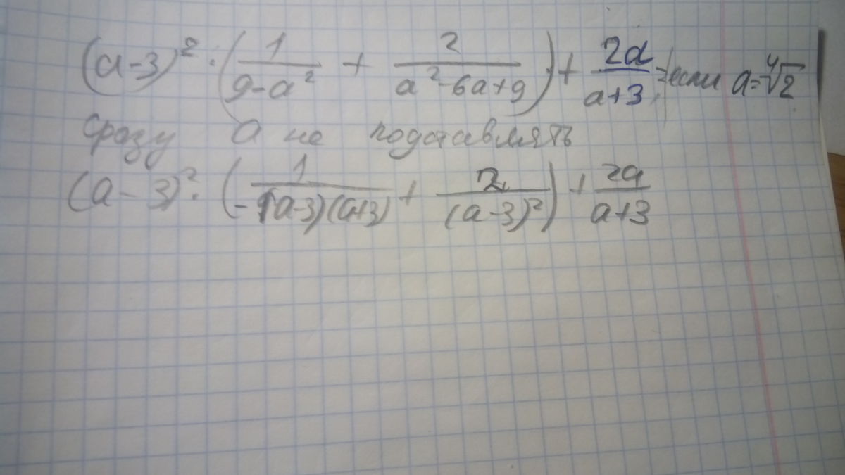
Пожалуйста помогите дальше дорешать)))Сейчас,пожалуйста. Задание не сложное,но я пока не знаю какой будет общий знаменатель

Приложения:

Ответы

Ответ дал: Lybobit3000
0
Прошу прощения за качество снимка.
Приложения:
Вас заинтересует