Помогите решить пожалуйста!
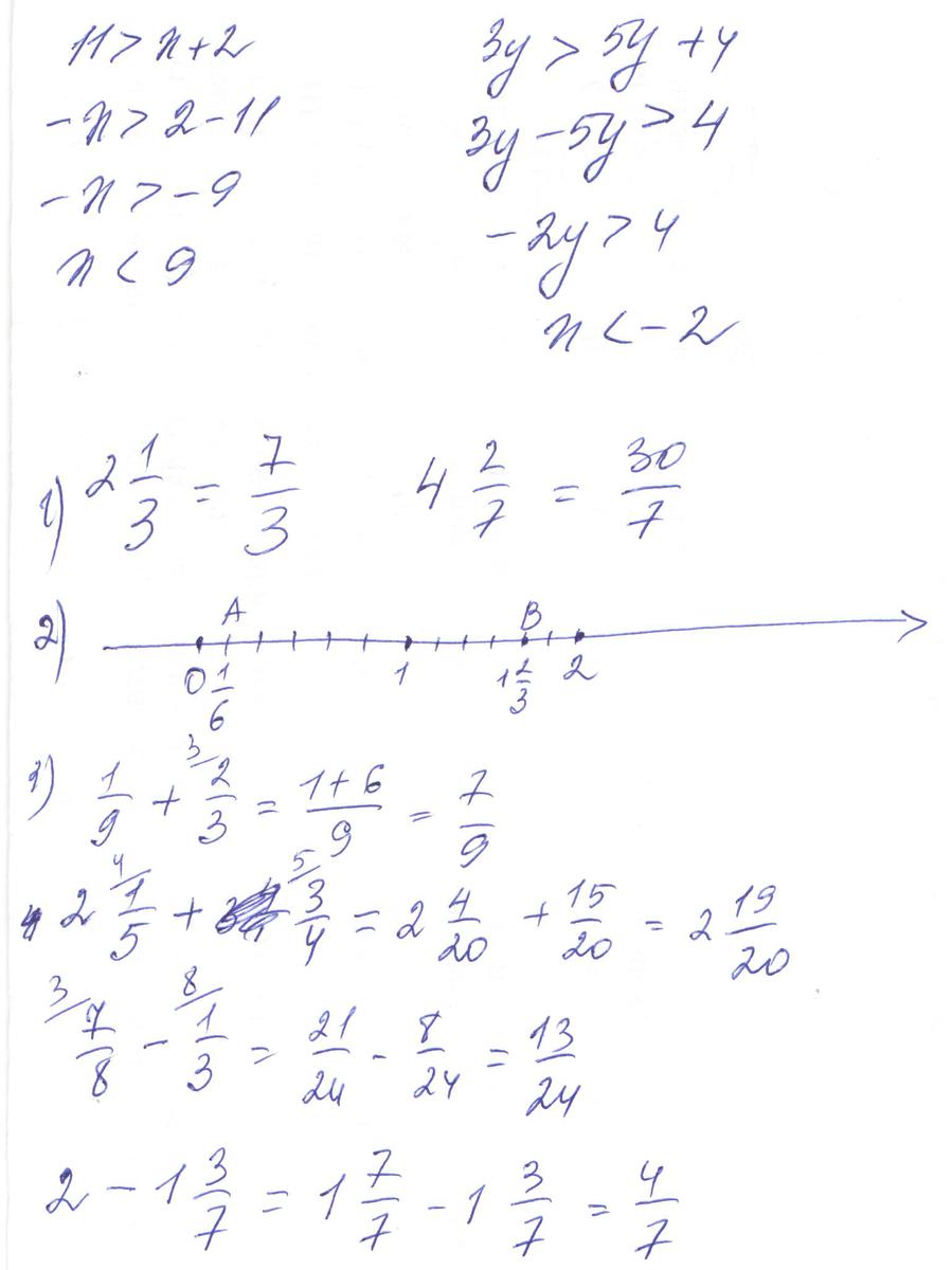
1. Представьте в виде неправильной дроби 2целых одна третьих ; 4целых две седьмых.
2. Начертите координатную прямую с единичным отрезком 6 клеток и отметьте на ней числа одна шестых и одна целая две третьих.
3. Выполни действия одна девятых+две третьих;2целых одна пятая+три четвертых;семь восьмых-одна третья;две целых-одна целая три седьмых
Ответы
Ответ дал:
0
вот как-то так......................
Приложения:

Ответ дал:
0
......................................
Приложения:

Вас заинтересует
2 года назад
2 года назад
7 лет назад
7 лет назад
10 лет назад
10 лет назад
10 лет назад