• Предмет: Алгебра
  • Автор: Tupoy1448
  • Вопрос задан 10 лет назад

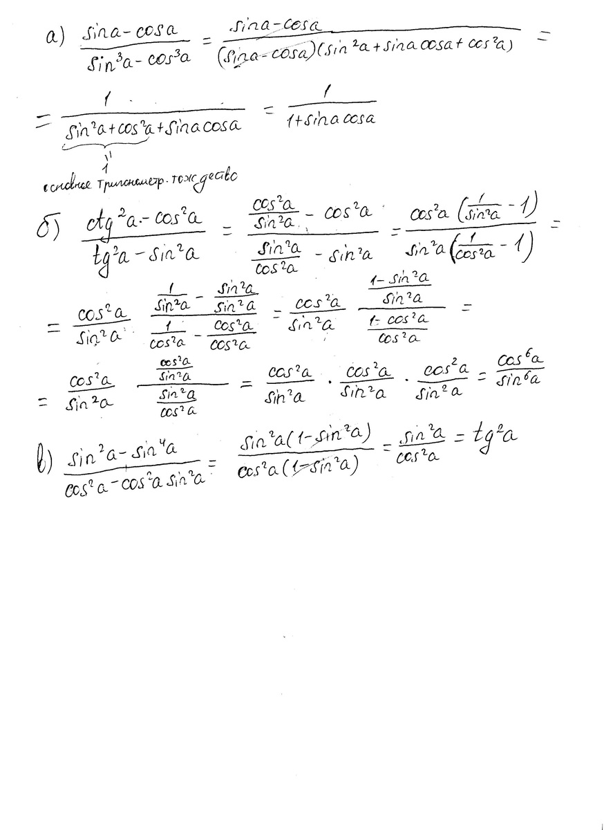
приведите к более простому виду выражения:
а) (sina-cosa)/(sin^3a-cos^3a)
б) (ctg^2a-cos^2a)/(tg^2a-sin^2a)
в) (sin^2a-sin^4a)/(cos^2a-cos^2a sin^2a)

Ответы

Ответ дал: bearcab
0
решение в приложении
Приложения:
Вас заинтересует