Ответы
Ответ дал:
0
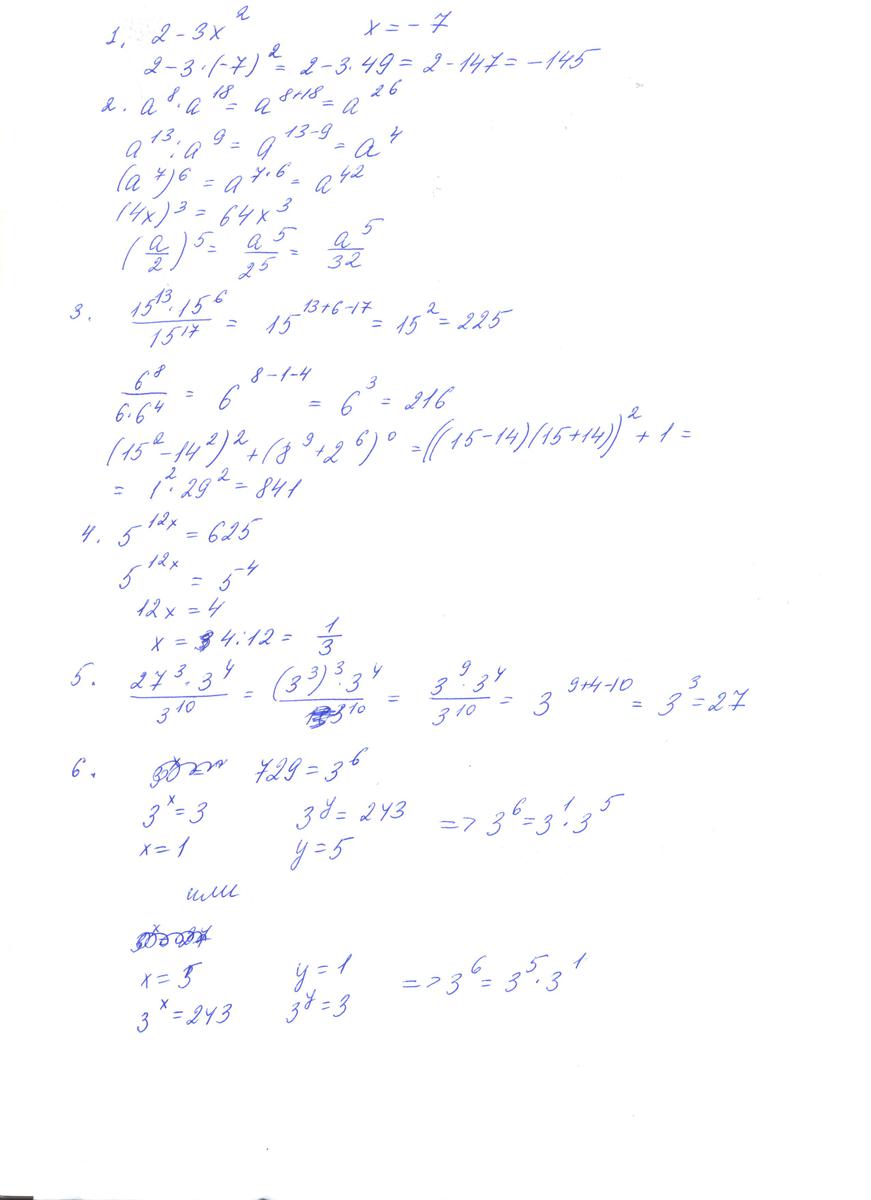
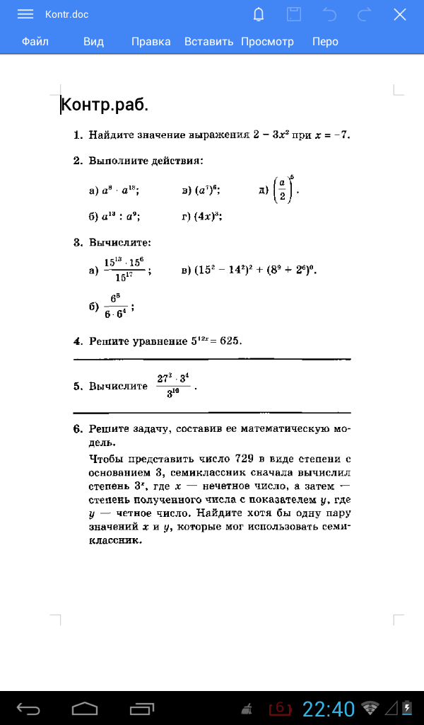
3.
15¹³*15⁶/15⁷=15¹⁹/15⁷=15¹²
6⁵/(6⁴*6)=6⁵/6⁵=1
(15²-14²)²-(8⁹*2⁶)⁰=(15-14)²*(15+14)²-0=1²*29²=29²=841.
4.
5^(12x)=625
5^(12x)=5^3
12x=3 I÷12
x=1/4.
15¹³*15⁶/15⁷=15¹⁹/15⁷=15¹²
6⁵/(6⁴*6)=6⁵/6⁵=1
(15²-14²)²-(8⁹*2⁶)⁰=(15-14)²*(15+14)²-0=1²*29²=29²=841.
4.
5^(12x)=625
5^(12x)=5^3
12x=3 I÷12
x=1/4.
Ответ дал:
0
В четвёртом ошибка: 5^(12x)=5^4 12x=4 I÷12 х=1/3.
Ответ дал:
0
сейчас правильно напишу
Ответ дал:
0
не понимаю 6 задание, остальное на фото-------------------------------------------------------
Приложения:
Вас заинтересует
2 года назад
2 года назад
8 лет назад
8 лет назад
10 лет назад
10 лет назад
10 лет назад
10 лет назад