решите логарифмические неравенства с одз (осн.-основание)
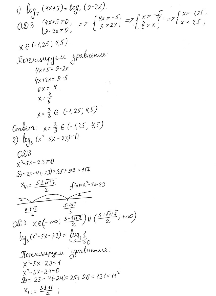
1)log(осн.)2 (4x+5)=log(осн)2(9-2х)
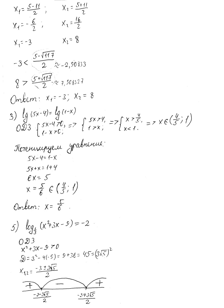
2)log(осн)3 (x^2-5x-23)=0
3)lg(5x-4)=log(1-х)
4)lg(5x-4)=log(осн)10(1-х)
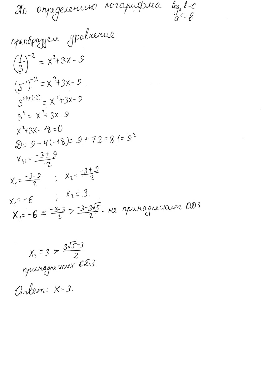
5)lg(осн)1/3(x^2+3x-9)=-2
Ответы
Ответ дал:
0
Решение в приложении. Должно быть понятно.
Приложения:



Вас заинтересует
2 года назад
2 года назад
7 лет назад
10 лет назад
10 лет назад
10 лет назад