• Предмет: Алгебра
  • Автор: chalady
  • Вопрос задан 10 лет назад

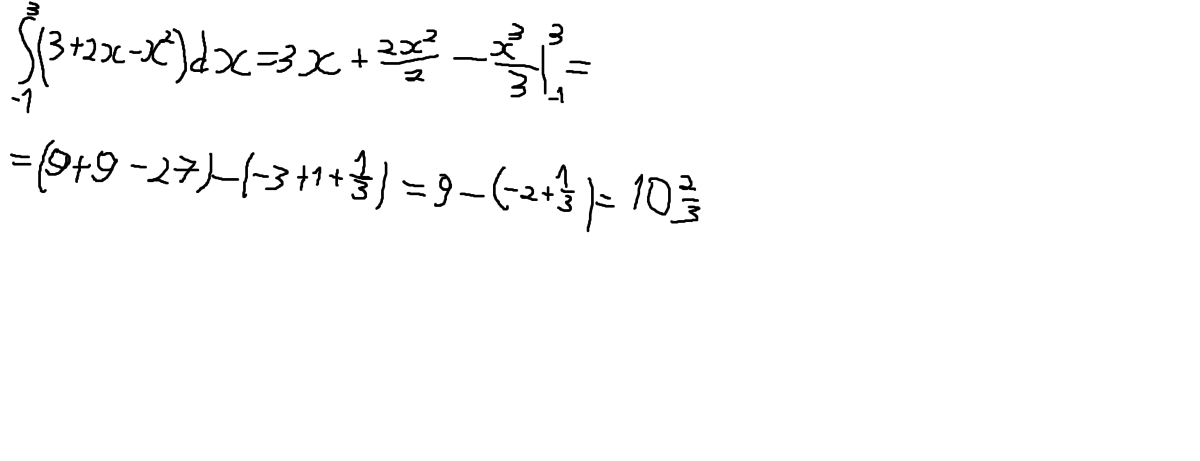
решить интеграл a=-1. b=3. (3+2x-x^2)dx. нужна ваша помощь

Ответы

Ответ дал: Skorg
0
прости плохо рисую)))))))))))))))
Приложения:
Ответ дал: chalady
0
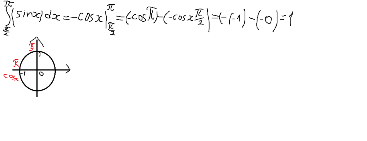
помогите и эту решить и все.    a=П/2.   b=П.  sinxdx
Ответ дал: Skorg
0
Добавил в предыдущий комментарий
Ответ дал: chalady
0
как называется таблица, откуда вы взяли значение П/2 и П
Ответ дал: Skorg
0
Тригонометрический круг
Вас заинтересует