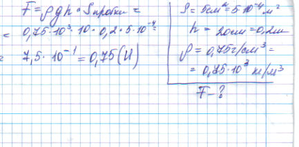
Определите силу давления бензина на пробку закрывающую сливне отверстие площадью S=5,0см^2 в бензобаке.Расстояние от Центра пробки до верхнего уровня жидкости h=20 см
Ответы
Ответ дал:
0
вот:) все не так сложно:)
Приложения:

Вас заинтересует
2 года назад
2 года назад
8 лет назад
8 лет назад
10 лет назад
10 лет назад
10 лет назад