• Предмет: Физика
  • Автор: Marina4020
  • Вопрос задан 11 лет назад

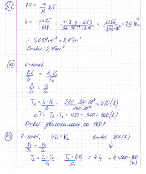
1. Какой объём занимает 1 кг кислорода при температуре 273 К и давлении 8*10^5 Па?

2. При изохрном нагревании идеального газа, взятого при температуре 320 К, его давление увеличилось от 140 до 210 кПа. Как изменилась температура газа?

3. Объём газа в изобарическом процессе увеличился в 4 раза. какой стала температура газа, если она была 200 К?
4. При переходе газа из одного состояния в другое температура газа не менялась, давление увеличилось в 6 раз, а объём уменишился в 3 раза. Какие еще изменения произошли с газом?

Ответы

Ответ дал: elizadolmatova
0

сейчас еще 4 посмотрю:)

Приложения:
Вас заинтересует