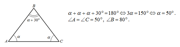
разность углов больше из которых лежит между боковыми сторонами а второй при основании равнобедренного треугольника равен 30 градусов. найдите все углы
треугольника.
Ответы
Ответ дал:
0
Решение во вложенном файле.
Приложения:

Вас заинтересует
2 года назад
7 лет назад
10 лет назад
10 лет назад