• Предмет: Алгебра
  • Автор: juliiapie
  • Вопрос задан 10 лет назад

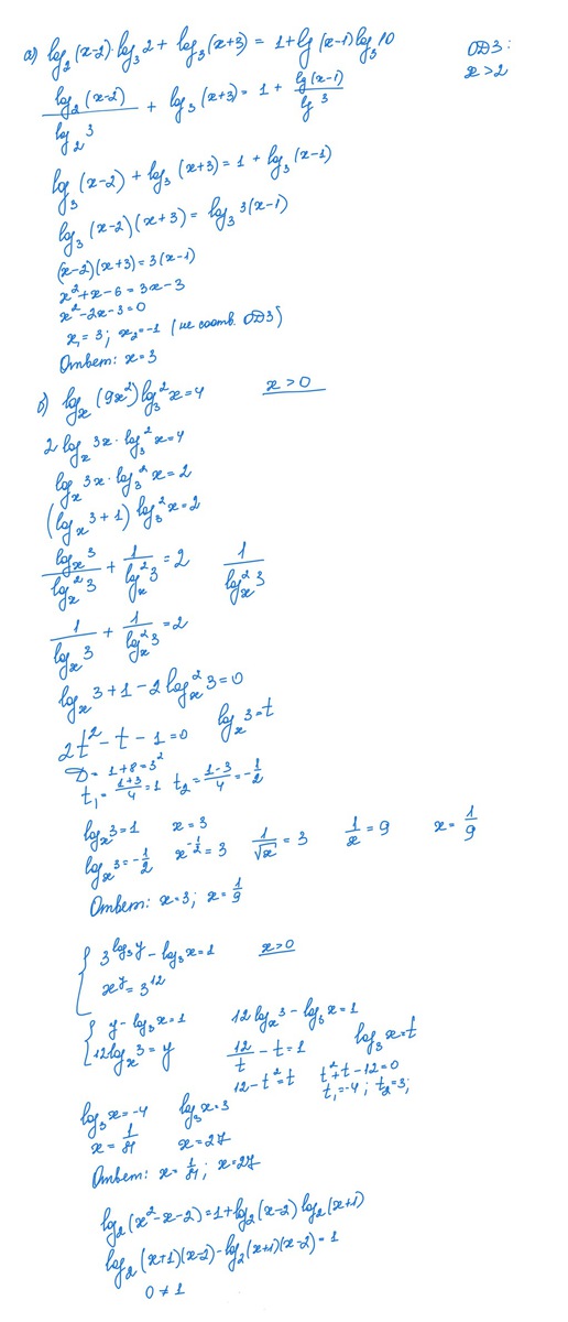
Ребят, очень нужна помощь с логарифмами. Хотя бы пару заданий (

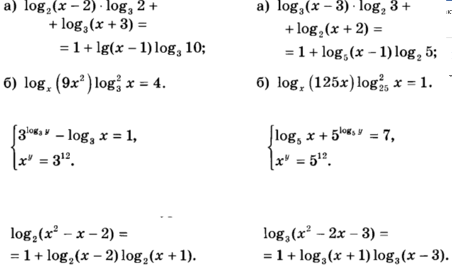
Приложения:

Ответы

Ответ дал: IgMike
0
Решение первой половины во вложении
Приложения:
Вас заинтересует