• Предмет: Математика
  • Автор: Аноним
  • Вопрос задан 10 лет назад

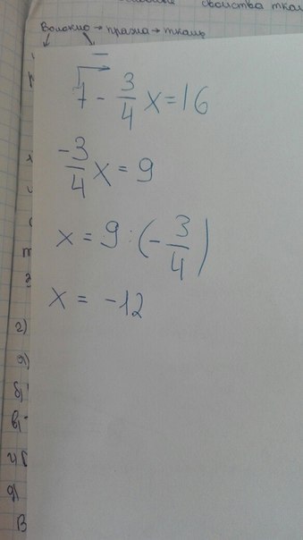
Решите уравнение 7-3/4x=16

Ответы

Ответ дал: kropachevakate
0
довольны?вот,решение
Приложения:
Ответ дал: Аноним
0
красава спасибо
Ответ дал: MrLyanda
0
а это верно
Ответ дал: Аноним
0
лох
Ответ дал: Аноним
0
если что я мр лианда
Ответ дал: Аноним
0
говорю
Вас заинтересует