• Предмет: Алгебра
  • Автор: Nastya8999
  • Вопрос задан 10 лет назад

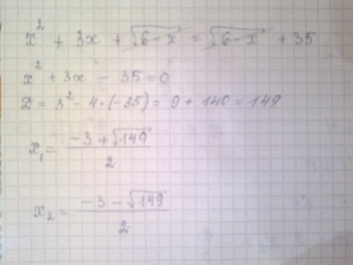
 Помогите Решить: х^2+3х +√6-х= √6-х +35

Ответы

Ответ дал: ytekjdbvsq
0
Пишите, если что не так
Приложения:
Вас заинтересует