Срочно нужно решение, помогите, пожалуйста.
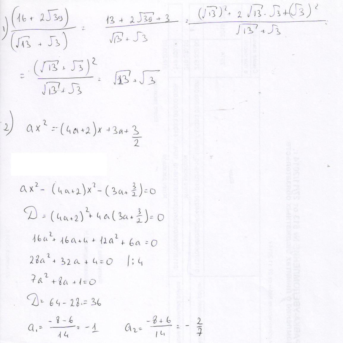
1) Сократить (16+2√39)/(√13+√3)
2) Найдите все значения a, при каждом из которых уравнение ax^2=(4a+2)x+3a+3/2=0 имеет единственный корень
Ответы
Ответ дал:
0
см. вложение
\\\\\\\\
\\\\\\\\
Приложения:
Ответ дал:
0
Первое задание решили наиболее изящным образом. А вот со вторым у Вас не всё хорошо
Ответ дал:
0
со вторым есть вопрос, где стоит знак "=". Если после ах^2, то решение боле-менее верно, только забыто а=0. А вот если "=" стоит во втором случае, то да(
Ответ дал:
0
Да, в условии стоит два знака равенства, так что истину знает только автор задания ). Но я имел ввиду именно вариант а = 0. Тоже об этом иногда забываю
Ответ дал:
0
тут не поспорю - косяк(
Ответ дал:
0
1) 

2) ax² + (4a+2)x + 3a + 3/2 = 0
При а = 0 исходное выражение превращается в линейное уравнение
2x + 3/2 = 0, имеющее один корень x = -3/4.
При а ≠ 0 получаем квадратное уравнение, которое имеет единственный корень лишь когда D = 0.
D = (4a+2)² - 4·a·(3a+3/2) = 16a² + 16a + 4 - 12a² - 6a = 4a² + 10a + 4 = 0
2a² + 5a + 2 = 0
D = 5² - 4·2·2 = 9
a₁ =
= -2
a₂ =
Окончательный ответ: уравнение имеет единственный корень при a = -2, -1/2, 0.
2) ax² + (4a+2)x + 3a + 3/2 = 0
При а = 0 исходное выражение превращается в линейное уравнение
2x + 3/2 = 0, имеющее один корень x = -3/4.
При а ≠ 0 получаем квадратное уравнение, которое имеет единственный корень лишь когда D = 0.
D = (4a+2)² - 4·a·(3a+3/2) = 16a² + 16a + 4 - 12a² - 6a = 4a² + 10a + 4 = 0
2a² + 5a + 2 = 0
D = 5² - 4·2·2 = 9
a₁ =
a₂ =
Окончательный ответ: уравнение имеет единственный корень при a = -2, -1/2, 0.
Приложения:
Вас заинтересует
3 года назад
3 года назад
8 лет назад
10 лет назад
10 лет назад
11 лет назад
11 лет назад