• Предмет: Алгебра
  • Автор: ИркОчкА
  • Вопрос задан 10 лет назад

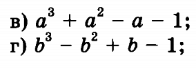
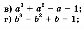
Представьте в виде произведения многочлен

Приложения:

Ответа на этот вопрос пока нет. Попробуйте найти его через форму поиска.

Вас заинтересует