Ответы
Ответ дал:
0
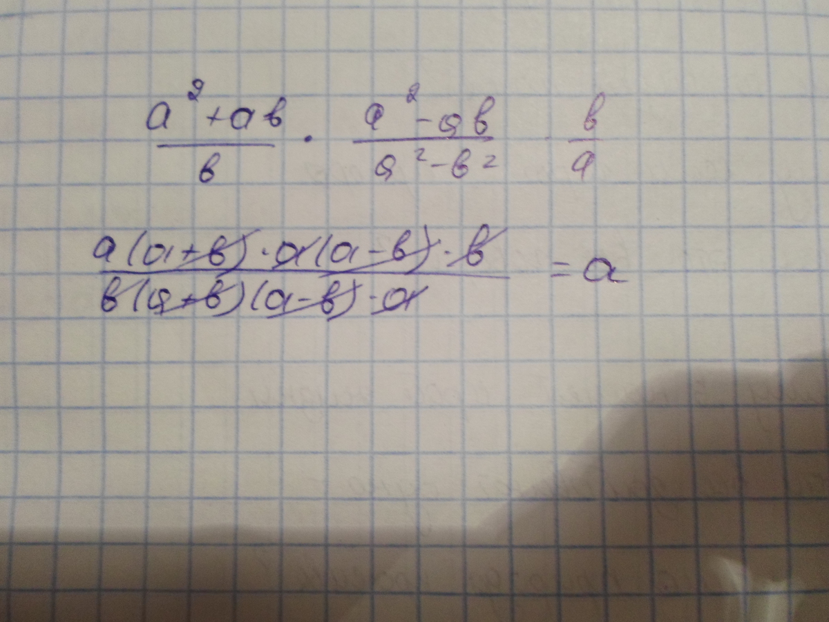
Вот. Зачеркивание - сокращение
Приложения:

Ответ дал:
0
спасибо
Ответ дал:
0
всегда пожалуйста:)
Вас заинтересует
2 года назад
2 года назад
7 лет назад
7 лет назад
10 лет назад