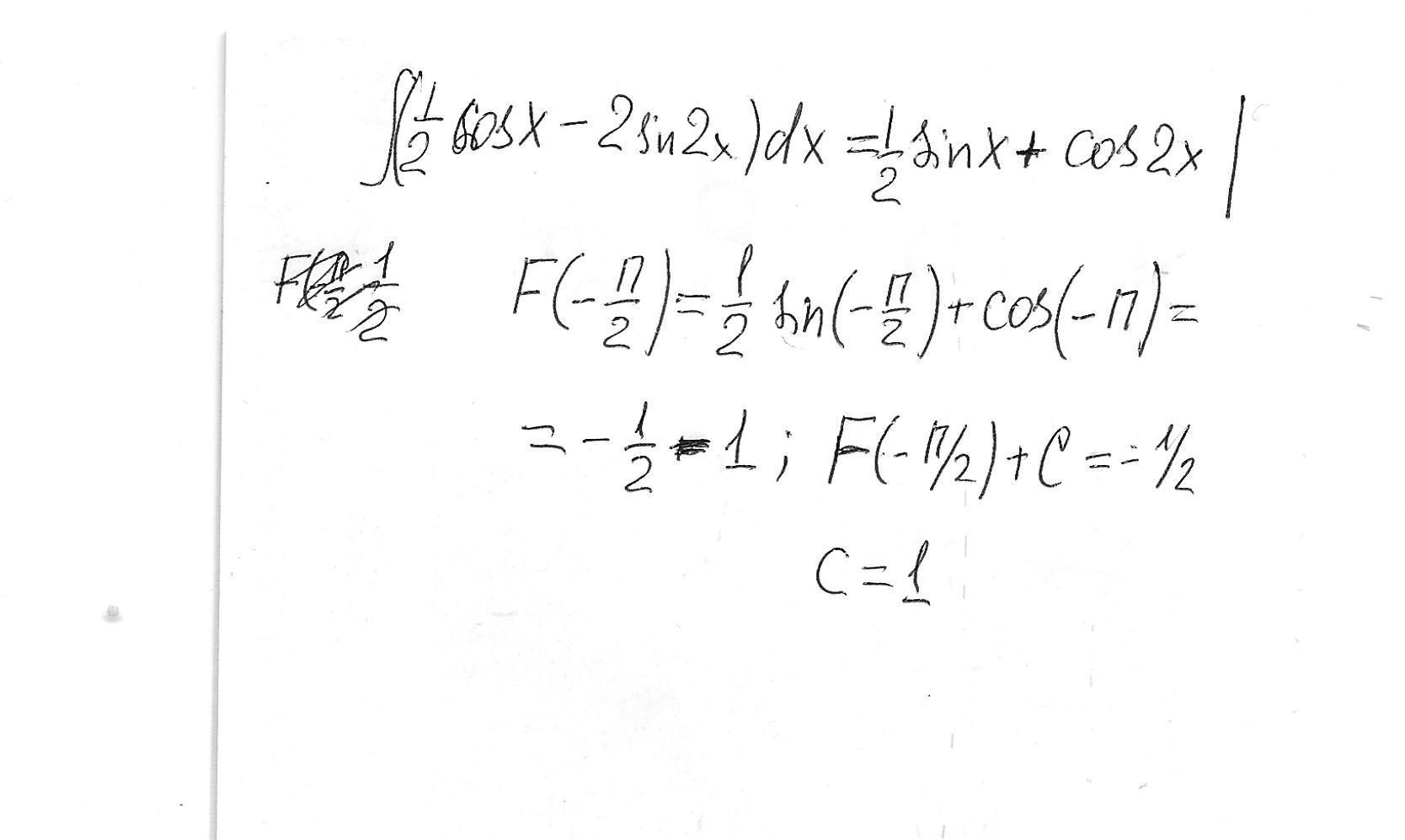
Для данной функции y=1/2 (cos x) - 2 sin2x найдите ту первообразную, график которой проходит через заданную точку (-pi/2;-1/2)
Ответы
Ответ дал:
0
C=1; F(x)=(1/2)sinx+cos2x+1
см. файл
см. файл
Приложения:

Вас заинтересует
2 года назад
2 года назад
7 лет назад
10 лет назад