Ответы
Ответ дал:
0
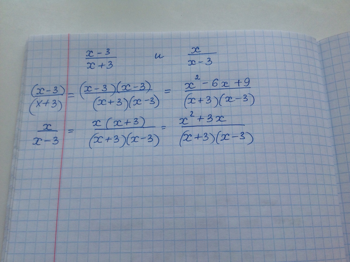
Решение на фото ниже
Чтобы дроби привести к общему знаменателю надо роли домножить на одно и то же число
Например:52 и 85
Общий знаменатель 10 значит надо:
52|×5 и 85|×2
Получаем 2510 и 4010
Вот и все! А решение того примера который был в вопросе на фото ниже.........
Чтобы дроби привести к общему знаменателю надо роли домножить на одно и то же число
Например:52 и 85
Общий знаменатель 10 значит надо:
52|×5 и 85|×2
Получаем 2510 и 4010
Вот и все! А решение того примера который был в вопросе на фото ниже.........
Приложения:
Ответ дал:
0
Решение смотри в приложении
Приложения:
Вас заинтересует
3 года назад
3 года назад
8 лет назад
10 лет назад
10 лет назад
11 лет назад