• Предмет: Алгебра
  • Автор: sinitsckayayul
  • Вопрос задан 10 лет назад

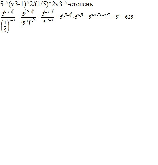
5 ^(√3-1)^2/(1/5)^2√3 ^-cтепень

Ответы

Ответ дал: kirichekov
0
решение во вложении-------------------------
Приложения:
Вас заинтересует