• Предмет: Математика
  • Автор: Полина7016
  • Вопрос задан 10 лет назад

помогите)) очень нужно решение☺ буду признательна

Приложения:

Ответы

Ответ дал: darpla
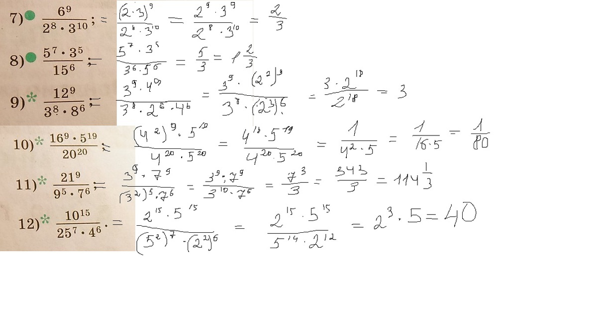
0
ответ в приложенном файле
Приложения:
Ответ дал: Полина7016
0
СПАСИБО!!!
Вас заинтересует