• Предмет: Алгебра
  • Автор: Grischa228
  • Вопрос задан 10 лет назад

ПОЖАЛУЙСТААААА!
ПОМОГИТЕ РЕШИТЬ УРАВНЕНИЯ!!!!!!!!!!!!!!!!!

Приложения:

Ответы

Ответ дал: KopKing
0
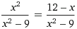
  х не должен равнять = 3

В картинках решение и ответ  x=4

Приложения:
Ответ дал: Grischa228
0
это уравнение = 3
Вас заинтересует