• Предмет: Алгебра
  • Автор: neokk
  • Вопрос задан 10 лет назад

ПОМОГИТЕ С ТРИГОНОМЕТРИЕЙ, ПОЖАЛУЙСТА

Приложения:

Ответы

Ответ дал: kirichekov
0
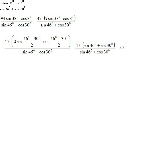
решение во вложении-----------------------
Приложения:
Вас заинтересует