• Предмет: Алгебра
  • Автор: AleksandrDetsuk17
  • Вопрос задан 10 лет назад

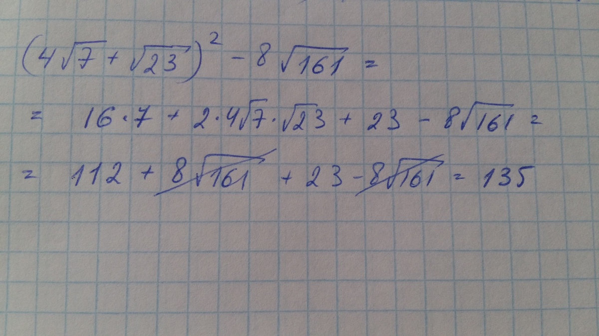
найдите значение выражения (4√7 + √23)^2 - 8√161

Ответы

Ответ дал: JillLenz
0
раскрываем скобки по св-вам сокращенного умножения, дальше корни сокращаются и ответ готов
Приложения:
Ответ дал: AleksandrDetsuk17
0
Спасибо )
Вас заинтересует