• Предмет: Математика
  • Автор: lissa1008
  • Вопрос задан 10 лет назад

помогите пожалуйста . срооочно нужно

Приложения:

Ответы

Ответ дал: KopKing
0
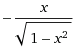
a) -x деленная на / sqrt{1-x} ДРОБЬ
Приложения:
Вас заинтересует