Ответы
Ответ дал:
0
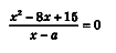
х^2-8x+15=0
х^2-8x=-15
x(х-8)=-15
х=-15 или х-8=-15
х=-15 или х=-7
x-a не равно 0
х^2-8x=-15
x(х-8)=-15
х=-15 или х-8=-15
х=-15 или х=-7
x-a не равно 0
Вас заинтересует
3 года назад
3 года назад
8 лет назад
8 лет назад
10 лет назад
10 лет назад