Ответы
Ответ дал:
0
посмотри по фотке......отправила
Приложения:

Ответ дал:
0
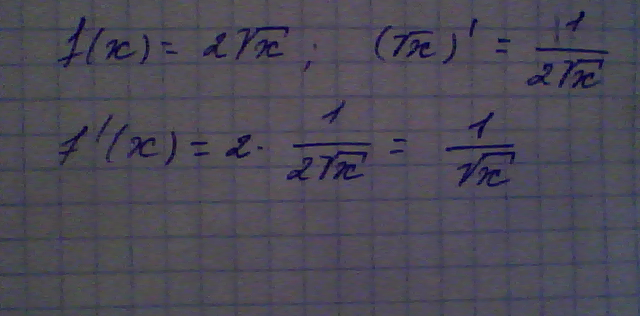
2sqrtx=2*x в степени 1/2
f ` = 1/sqrtx
Приложения:

Вас заинтересует
2 года назад
2 года назад
8 лет назад
10 лет назад
10 лет назад