• Предмет: Алгебра
  • Автор: tonni
  • Вопрос задан 10 лет назад

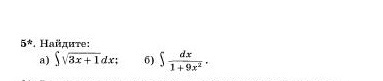
помогите пожалуйста решить интегралы

Приложения:

Ответы

Ответ дал: aci12
0
дивись таблицю первісної
Вас заинтересует