• Предмет: Математика
  • Автор: Raffaello
  • Вопрос задан 10 лет назад

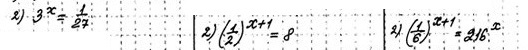
Решите, очень срочно!!!!

Приложения:

Ответа на этот вопрос пока нет. Попробуйте найти его через форму поиска.

Вас заинтересует