• Предмет: Алгебра
  • Автор: Аноним
  • Вопрос задан 10 лет назад

Помогите пожалуйста!!!

Приложения:

Ответы

Ответ дал: Аноним
0
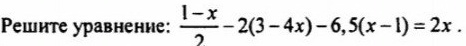
1-х - 4(3-4х) -13(х-1) =4х
-х- 4х +16х -13х =12-1-13
-2х=-2
х=1


Ответ дал: Аноним
0
Ааа точно..не туда посмотрела, прошу прощения.
Ответ дал: Аноним
0
хорошо
Ответ дал: Аноним
0
А можно вопрос?? Почему умножается на 2?
Ответ дал: Аноним
0
потому что там в знаменателе стоит2
Ответ дал: Аноним
0
Ааа..спасибо Вам большое, очень помогли)))
Ответ дал: 1401Tamara
0
(1-x)/2 - 2(3-4x)-6,5(x-1)= 2x
1-x-4(3-4x)-13(x-1)=4x
1 -x+16x-13x-4x=-1+12-13
-2x=-2
x=1
Ответ дал: Аноним
0
у вас ошибка
Ответ дал: Аноним
0
там перед икс стоит минус 2
Ответ дал: Аноним
0
а не просто минус х
Ответ дал: Аноним
0
исправьте пожалуйста, чтобы учеников не вводить в заблуждение
Вас заинтересует