Ответы
Ответ дал:
0
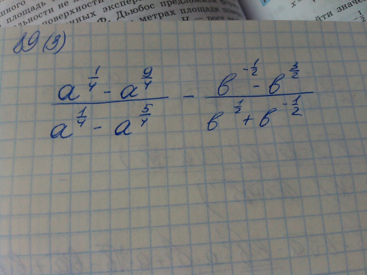
1-я дробь:
числитель= а^1/4(1-а²) = a^1/4(1-а)(1+а)
знаменатель = a^1/4(1-а)
дробь сокращаем, получим: 1+а
2-я дробь:
числитель = b^-1/2(1-b²)= b^-1/2(1-b)(1+b)
знаменатель = b^-1/2(b +1)
дробь сокращаем, получим: 1-b
cам пример: 1+а -(1-b) = 1+a -1 +b = a+b
числитель= а^1/4(1-а²) = a^1/4(1-а)(1+а)
знаменатель = a^1/4(1-а)
дробь сокращаем, получим: 1+а
2-я дробь:
числитель = b^-1/2(1-b²)= b^-1/2(1-b)(1+b)
знаменатель = b^-1/2(b +1)
дробь сокращаем, получим: 1-b
cам пример: 1+а -(1-b) = 1+a -1 +b = a+b
Вас заинтересует
3 года назад
3 года назад
8 лет назад
8 лет назад
10 лет назад
11 лет назад