Ответы
Ответ дал:
0
1) 11/30 - 17/36 = -19/180
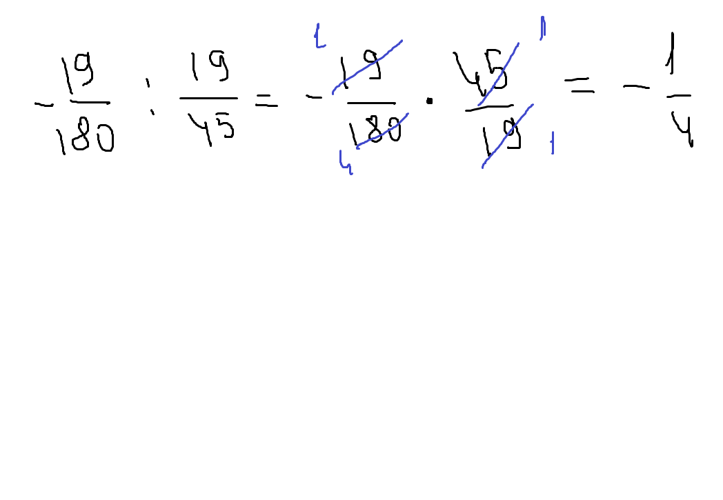
2) -19/180 ÷ 19/45 = -1/4
на фото сокращение т.е 2 действие ⇒ деление
2) -19/180 ÷ 19/45 = -1/4
на фото сокращение т.е 2 действие ⇒ деление
Приложения:
Вас заинтересует
3 года назад
3 года назад
8 лет назад
8 лет назад
10 лет назад
11 лет назад
11 лет назад