• Предмет: Алгебра
  • Автор: sabiko03
  • Вопрос задан 10 лет назад

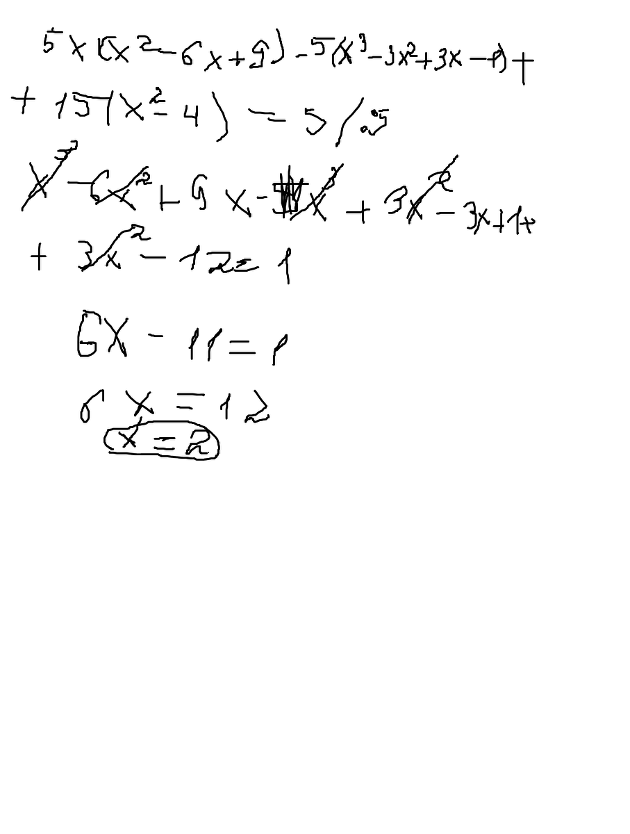
решите уравнение 5х(х-3)^2-5(x-1)^3+15(x+2)(x-2)=5

Ответы

Ответ дал: EkaterinaBurikina
0
Решение все здесь, то что зачеркнуто, это два числа с разными знаками, ответ в кружочке

Приложения:
Ответ дал: EkaterinaBurikina
0
В общем, перепиши все так же и зачеркни тоже, 5 будет
Ответ дал: sabiko03
0
Спасибо большое!)
Вас заинтересует