• Предмет: Алгебра
  • Автор: nikatsibuliaeva
  • Вопрос задан 10 лет назад

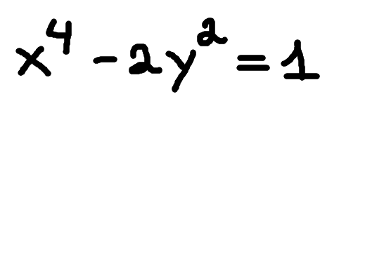
НАЙДИТЕ ВСЕ ЦЕЛЫЕ ЧИСЛА X И Y, УДОВЛЕТВОРЯЮЩИЕ УРАВНЕНИЮ:

Приложения:

Ответа на этот вопрос пока нет. Попробуйте найти его через форму поиска.

Вас заинтересует