Ответы
Ответ дал:
0
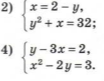
2) у²+2-у=32
у²-у-30=0
6-5=1 (теорема Виета)
у₁=6 у₂=-5
х₁=2-6=-4 х₂=2-(-5)=2+5=7
4)у=2+3х
х²-2(2+3х)=3
х²-4-6х=3
х²-6х-7=0
7-1=6 (теорема Виета)
х₁=7 х₂=-1
у₁=23 у₂=-1
у²-у-30=0
6-5=1 (теорема Виета)
у₁=6 у₂=-5
х₁=2-6=-4 х₂=2-(-5)=2+5=7
4)у=2+3х
х²-2(2+3х)=3
х²-4-6х=3
х²-6х-7=0
7-1=6 (теорема Виета)
х₁=7 х₂=-1
у₁=23 у₂=-1
Вас заинтересует
2 года назад
2 года назад
8 лет назад
8 лет назад
10 лет назад
10 лет назад