• Предмет: Математика
  • Автор: Факарикето
  • Вопрос задан 10 лет назад

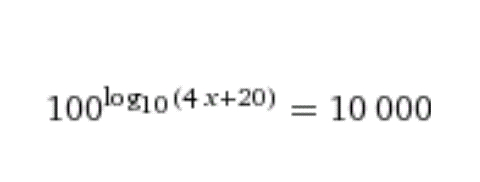
Помогите пожалуйста, знаю только, что ответ 20

Приложения:

Ответа на этот вопрос пока нет. Попробуйте найти его через форму поиска.

Вас заинтересует