Ответы
Ответ дал:
0
1
4)y=-x²-10x-28=-(x²+10x+25)-3=-(x+5)²-3
Вершина (-5;-3) ветви вниз
2
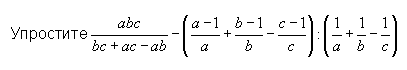
1)(a-1)/a+(b-1)/b-(c-1)/c=(abc-bc+abc-ac-abc+ab)/abc=(abc-bc-ac+ab)/abc
2)1/a+1/b-1/c)=(bc+ac-ab)/abc
3)(abc-bc-ac+ab)/abc*abc/(bc+ac-ab)=(abc-bc-ac+ab)/(bc+ac-ab)
4)abc/(bc+ac-ab)-(abc-bc-ac+ab)/(bc+ac-ab)=
(abc-abc+bc+ac-ab)/(bc+ac-ab)=(bc+ac-ab)/(bc+ac-ab)=1
3
(4;0)
4)y=-x²-10x-28=-(x²+10x+25)-3=-(x+5)²-3
Вершина (-5;-3) ветви вниз
2
1)(a-1)/a+(b-1)/b-(c-1)/c=(abc-bc+abc-ac-abc+ab)/abc=(abc-bc-ac+ab)/abc
2)1/a+1/b-1/c)=(bc+ac-ab)/abc
3)(abc-bc-ac+ab)/abc*abc/(bc+ac-ab)=(abc-bc-ac+ab)/(bc+ac-ab)
4)abc/(bc+ac-ab)-(abc-bc-ac+ab)/(bc+ac-ab)=
(abc-abc+bc+ac-ab)/(bc+ac-ab)=(bc+ac-ab)/(bc+ac-ab)=1
3
(4;0)
Ответ дал:
0
А вы бы не могли помочь еще вот с этим?http://znanija.com/task/16988523
Ответ дал:
0
На рисунке изображен график 4)
Т.к. ветви направлены вниз х₀=-5=-10/2
Графически график пересечения функций х=4, у=0
2х-у=8
х+у=4
3х=12
у=4-х
х=4
у=0



Т.к. ветви направлены вниз х₀=-5=-10/2
Графически график пересечения функций х=4, у=0
2х-у=8
х+у=4
3х=12
у=4-х
х=4
у=0
Вас заинтересует
2 года назад
2 года назад
8 лет назад
8 лет назад
10 лет назад
10 лет назад