• Предмет: Алгебра
  • Автор: JayKayy
  • Вопрос задан 10 лет назад

Помогите пожалуйста решить дам 43 балла!

Приложения:

Ответы

Ответ дал: Аноним
0
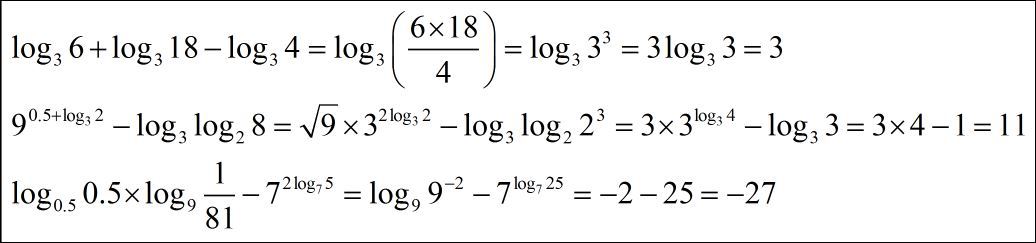
решение смотри во вложении
Приложения:
Вас заинтересует