Ответы
Ответ дал:
0
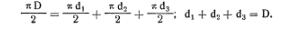
Длина большой полуокружности равна сумме длин трех маленьких полуокружностей.
Приложения:

Ответ дал:
0
Я думаю скорее всего маельних окружностей.
Приложения:

Вас заинтересует
2 года назад
2 года назад
8 лет назад
8 лет назад
10 лет назад
10 лет назад
10 лет назад