Ответы
Ответ дал:
0
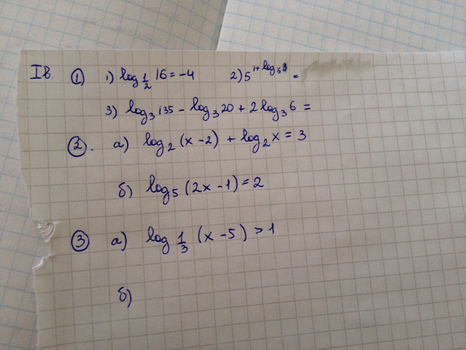
log₃ 135/20+2 log₃6=log₃6,75+ log₃6² =
= log₃6,75+ log₃36 = log₃6,75 ·36 =log ₃ 243= 5
= log₃6,75+ log₃36 = log₃6,75 ·36 =log ₃ 243= 5
Ответ дал:
0
gj 'njve ;t gjlj,b. cltkfq jcnfkmyjt)
Ответ дал:
0
по этому же подобию, сделай остальное))
Ответ дал:
0
б) log_5(2x-1)=2
2x-1= 5 во второй степени
за свойством логарифма
2х-1=25
2х=26
х=13
2x-1= 5 во второй степени
за свойством логарифма
2х-1=25
2х=26
х=13
Вас заинтересует
3 года назад
3 года назад
8 лет назад
8 лет назад
10 лет назад
10 лет назад
11 лет назад