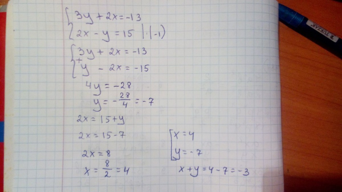
Розв'яжіть систему рівнянь {3y+2x=−13,
2x−y=15.
Якщо (x0; y0) - розв'язок цієї системи, то x0+y0=
Ответы
Ответ дал:
0
Вот как-то так.
Ну, если я правильно поняла ваше задание.
Ну, если я правильно поняла ваше задание.
Приложения:
Ответ дал:
0
Ох, вы все сделали верно, я не уточнила. х - это степень
Вас заинтересует
3 года назад
3 года назад
8 лет назад
10 лет назад
10 лет назад