• Предмет: Математика
  • Автор: maksimus122001
  • Вопрос задан 10 лет назад

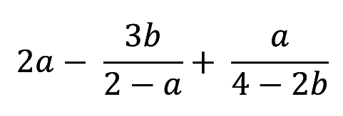
Найти допустимое значение выражения
A) а≠0, b≠0
В) a≠2, b≠0
С) a≠2, b≠-2
D) a≠2, b≠2

Приложения:

Ответы

Ответ дал: Guppy2016
0
Д, потому что при а=2 и б=2 знаменатели в дробях будут равны 0.
Вас заинтересует