Ответы
Ответ дал:
0
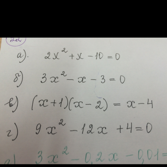
а)Д=1-4*2*(-10)=1+80=81
√Д=9
x1=-1+9/4=2
x2=-1-9/4=-10/4=-2.5
проверка:
8+2-10=0
0=0
12.5-2.5-10=0
0=0
б)D=1-4*3*(-3)=1+36=37 корень не извлекается. решения нет
в)x²-2x+x-2=x-4
x²-x-2-x+4=0
x²-2x-2=0
D=4-4*1*(-2)=4+8=12 корень не извлекается. решения нет
г)D=144-4*9*4=144-144=0
√D=0
x1=12-0/18=4/6=2/3
x2=12/18=2/3
проверка
9*4/9-12*2/3+4=4-8+4=0
0=0
√Д=9
x1=-1+9/4=2
x2=-1-9/4=-10/4=-2.5
проверка:
8+2-10=0
0=0
12.5-2.5-10=0
0=0
б)D=1-4*3*(-3)=1+36=37 корень не извлекается. решения нет
в)x²-2x+x-2=x-4
x²-x-2-x+4=0
x²-2x-2=0
D=4-4*1*(-2)=4+8=12 корень не извлекается. решения нет
г)D=144-4*9*4=144-144=0
√D=0
x1=12-0/18=4/6=2/3
x2=12/18=2/3
проверка
9*4/9-12*2/3+4=4-8+4=0
0=0
Вас заинтересует
3 года назад
3 года назад
8 лет назад
8 лет назад
10 лет назад
10 лет назад
11 лет назад