• Предмет: Алгебра
  • Автор: Лииииииза111
  • Вопрос задан 11 лет назад

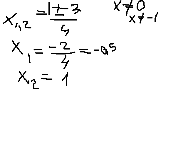
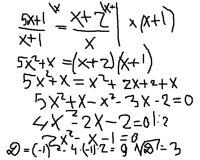
При каких знгачениях х значения дробей 5х+1/х+1 и х+2/х равны?

Ответы

Ответ дал: anonymys1
0

Для этого нужно составить уравнение

Приложения:
Вас заинтересует