• Предмет: Математика
  • Автор: Аноним
  • Вопрос задан 10 лет назад

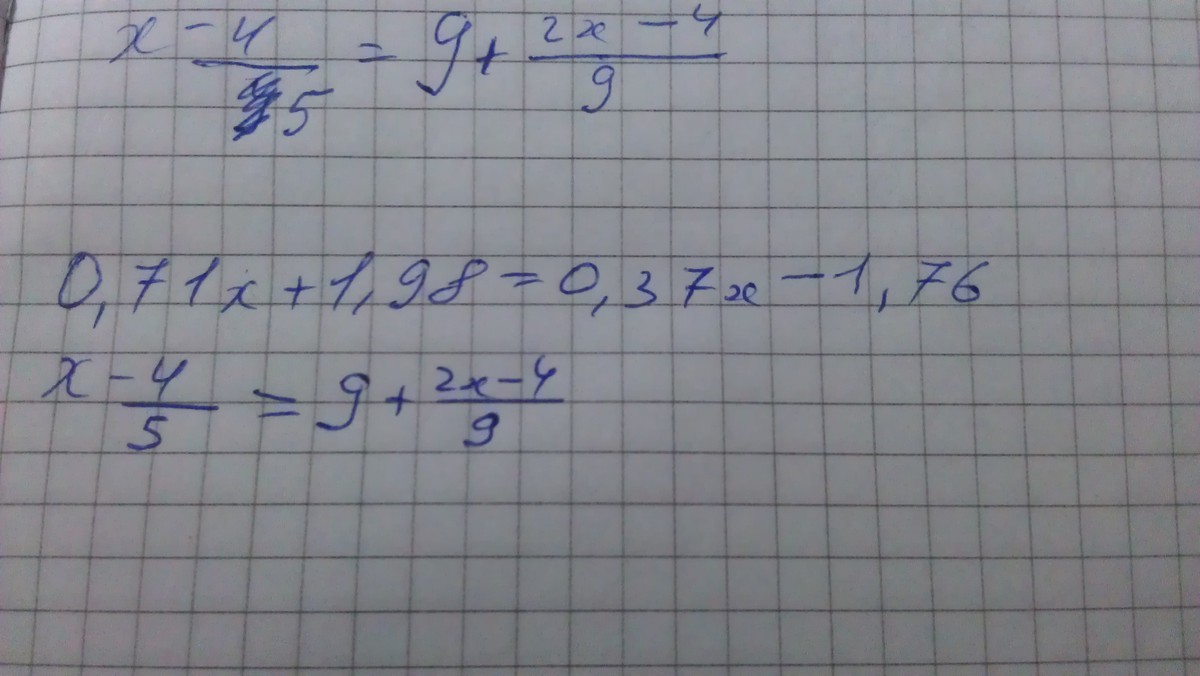
2 уравнения с фото!! И ЕЩЕ 5*(8Х-1)-7*(4Х+1)+8*(7-4Х)=9 СРОЧНО!! 6 КЛАСС

Приложения:

Ответы

Ответ дал: Arinka6368
0
5*(8х-1)-7*(4х+1)+8*(7-4х)=9
40х-5-28х-7+56-32х=9
40х-28х-32х=9+5+7-56
-20х=-35
х=1,75
Вас заинтересует