• Предмет: Алгебра
  • Автор: Brilliant05
  • Вопрос задан 11 лет назад

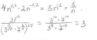
Ребята помогите пожалуйста...вычислить

Приложения:

Ответы

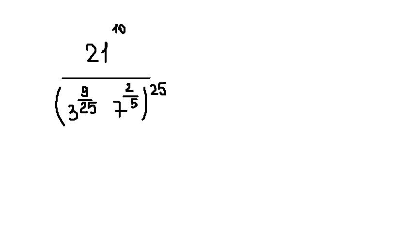
Ответ дал: Ellenochka
0

надеюсь такое решение будем вам понятным

Приложения:
Вас заинтересует