Ответы
Ответ дал:
0
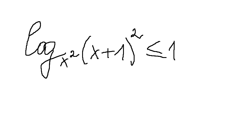
1)

1) {0<x²<1
{(x+1)² >0
{(x+1)² ≥ x²
a) x² >0
x - любое число.
б) x² < 1
x²-1<0
(x-1)(x+1)<0
x=1 x= -1
+ - +
----- -1 -------- 1 ------------
\\\\\
x∈(-1; 1)
в) (x+1)²≥x²
(x+1)² - x² ≥0
(x+1-x)(x+1+x) ≥ 0
2x+1 ≥0
2x≥ -1
x≥ -0.5
\\\\\\\\\\\
-------- -1 ------- -0.5 -----1 -----------
\\\\\\\\\
x∈[-0.5; 1)
2) {x²>1
{(x+1)² > 0
{(x+1)² ≤ x²
a) x²>1
x² -1>0
(x-1)(x+1)>0
x=1 x= -1
+ - +
--------- -1 --------------- 1 ---------------
\\\\\ \\\\\\\\\
x∈(-∞; -1)U(1; +∞)
б) (x+1)² >0
x - любое число
в) (x+1)² ≤ x²
(x+1)² - x² ≤0
(x+1-x)(x+1+x)≤0
2x+1≤0
2x≤ -1
x≤ -0.5
\\\\\ \\\\\\\\
-------- -1 -------- -0.5 ------------- 1 ---------------
\\\\\\\\\\\\\\
x∈(-∞; -1)
Общее решение неравенства:
x∈(-∞; -1)U[-0.5; 1)
Ответ: (-∞; -1)U[-0.5; 1)
1) {0<x²<1
{(x+1)² >0
{(x+1)² ≥ x²
a) x² >0
x - любое число.
б) x² < 1
x²-1<0
(x-1)(x+1)<0
x=1 x= -1
+ - +
----- -1 -------- 1 ------------
\\\\\
x∈(-1; 1)
в) (x+1)²≥x²
(x+1)² - x² ≥0
(x+1-x)(x+1+x) ≥ 0
2x+1 ≥0
2x≥ -1
x≥ -0.5
\\\\\\\\\\\
-------- -1 ------- -0.5 -----1 -----------
\\\\\\\\\
x∈[-0.5; 1)
2) {x²>1
{(x+1)² > 0
{(x+1)² ≤ x²
a) x²>1
x² -1>0
(x-1)(x+1)>0
x=1 x= -1
+ - +
--------- -1 --------------- 1 ---------------
\\\\\ \\\\\\\\\
x∈(-∞; -1)U(1; +∞)
б) (x+1)² >0
x - любое число
в) (x+1)² ≤ x²
(x+1)² - x² ≤0
(x+1-x)(x+1+x)≤0
2x+1≤0
2x≤ -1
x≤ -0.5
\\\\\ \\\\\\\\
-------- -1 -------- -0.5 ------------- 1 ---------------
\\\\\\\\\\\\\\
x∈(-∞; -1)
Общее решение неравенства:
x∈(-∞; -1)U[-0.5; 1)
Ответ: (-∞; -1)U[-0.5; 1)
Вас заинтересует
8 лет назад
8 лет назад
10 лет назад
10 лет назад
10 лет назад