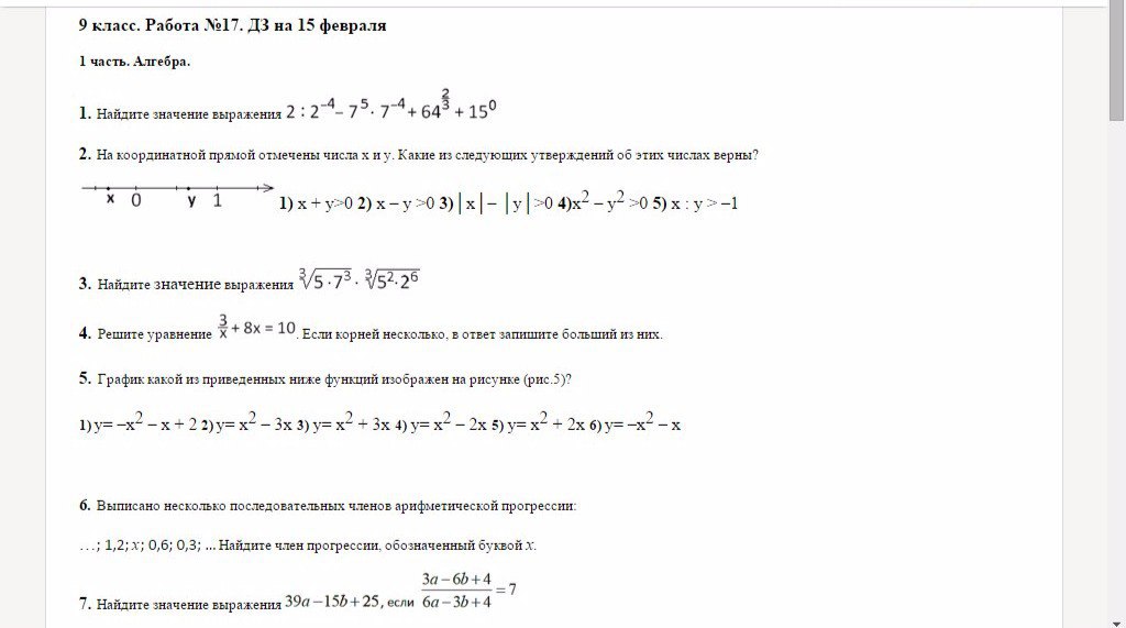
• Предмет: Математика
  • Автор: merlintex
  • Вопрос задан 10 лет назад

помогите решить, хотя бы что-то, очень нужно

Приложения:

Ответы

Ответ дал: fyvapro95
0
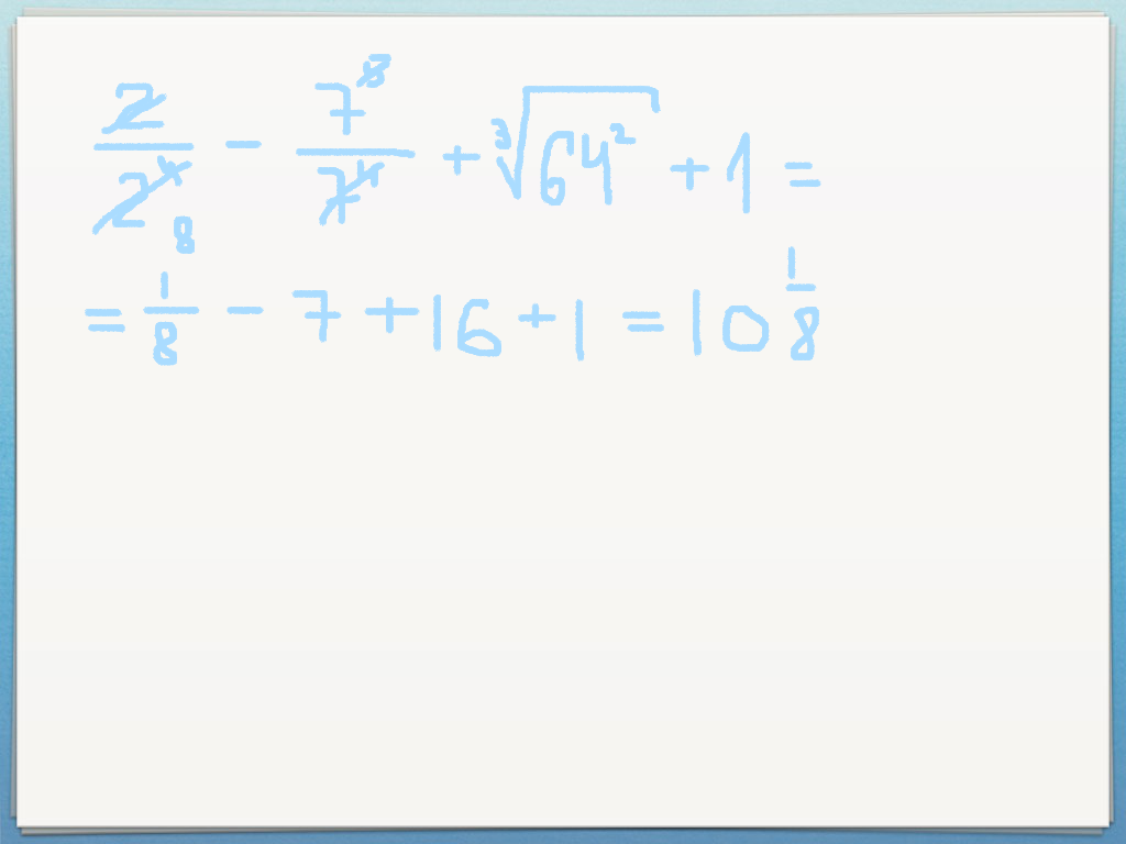
1)Решение прилагаю
2)1;5
3)Решение также прилагаю
4)В ответ пойдут 3/4
5)Рисунка 5 нет, так что..
6)0,9

Приложения:
Ответ дал: sudsha
0
3. ...=∛5³*7³*(2³)²=5*7*2²=140
Приложения:
Вас заинтересует