• Предмет: Алгебра
  • Автор: Аноним
  • Вопрос задан 10 лет назад

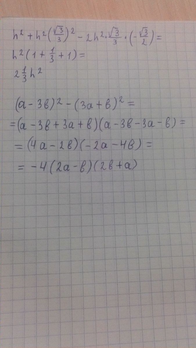
(a-3b) в квадрате -(3а+b) в квадрате

Ответы

Ответ дал: A1dar
0
Решение прикрепил (фото)
Приложения:
Ответ дал: Крольчонок555
0
Вы по ф-де не решали)
Ответ дал: Крольчонок555
0
Ф-ле 
Ответ дал: A1dar
0
да, разность квадратов
Ответ дал: Аноним
0
Спасибо большое.
Ответ дал: Аноним
0
ничего не поняла.
Вас заинтересует