• Предмет: Алгебра
  • Автор: Dima984798
  • Вопрос задан 10 лет назад

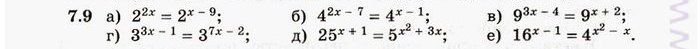
Помогите пожалуйста))) Очень нужна помощь)) Все задание на фото)) Решите все уравнения плиз)))

Приложения:

Ответы

Ответ дал: A1dar
0
решение в приложении к ответу
Приложения:
Ответ дал: A1dar
0
2х=х-9
Ответ дал: A1dar
0
2х-х=-9
Ответ дал: A1dar
0
х=-9
Ответ дал: Dima984798
0
понял, спасибо большое 
Ответ дал: A1dar
0
пожалуйста
Вас заинтересует