• Предмет: Алгебра
  • Автор: Aria24
  • Вопрос задан 10 лет назад

ПОЖАЛУЙСТА ПОМОГИТЕ ЗАРАНЕЕ СПАСИБО!!!!!!!!!!
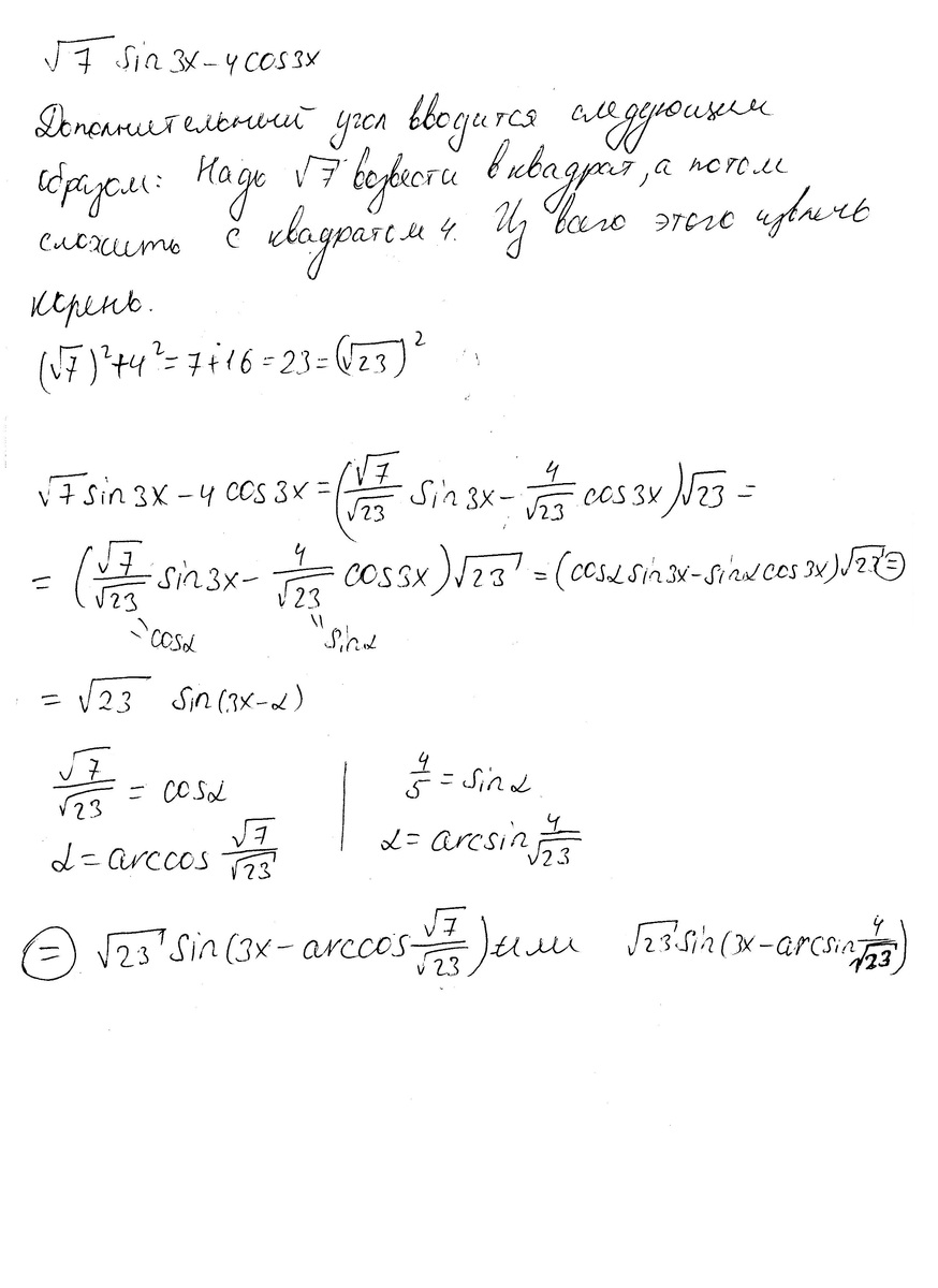
1)преобразовать в произведение : √7sin3x-4cos3x
2) вычислить : (3sin²136°)/(sin²17°sin²22°sin²56°sin²73°)
3)упростить ((sinα+sin3α)/(cosα+cos3α))*(1+cos4α)
4)Вычислить (1/(sin170°))-(√3-(sin100°))

Ответы

Ответ дал: bearcab
0
Решение в приложении
Приложения:
Ответ дал: Aria24
0
Спасибо большое !!1
Вас заинтересует